Radioactivity and Air Dose Rate
(2015)
QHow far does the radiation come from?(1)
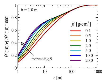
AContribution of gamma ray from the land adjacent to the measurement point is large, while that from the land far from the point is small. About 90% of radiation at 1 m above the ground comes from radiocesium in soil within 100 m in radius.
- Contribution of gamma ray from land adjacent to the measurement point is large, while that from land far from the point is small.
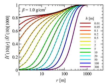
- The higher the measurement point is above the ground, the larger the area of influence on dose rate is.



