放射性物質・空間線量率Radioactivity and Air Dose Rate
(2015年 更新)
Q平坦な土地において、空間線量率にはどのくらいの範囲の放射性セシウムが影響していますか。【解析事例】
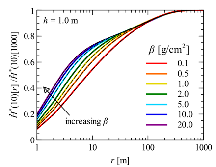
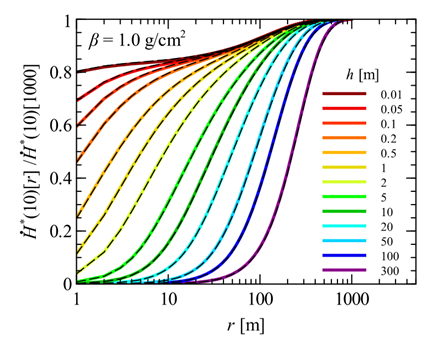
A空間線量率は、近いところからの寄与が大きく、遠いところからの寄与は小さいです。地上1m高さの空間線量率に与える放射線のおよそ9割が半径100m以内から来ています。
- 1m高さの空間線量率は、近いところからの寄与が大きく、遠いところからの寄与は小さい。
- 寄与率は、土壌深さ方向への浸透(緩衝深度βの増大)とともに近いところの寄与率が上昇します。
- 地上から高いほど影響範囲は遠くまで広がります。
(放射線輸送モデルPHITSを利用した計算結果)




図1 平坦な土地における放射線の影響範囲
Q 空間線量率の分布状況は時間とともにどのように変わってきましたか。
Q 地形・地上構造物を考慮した場合、空間線量率はどうなりますか。【解析事例】