Radioactivity and Air Dose Rate
(2019)
QHow can the types of minerals to which radioactive Cs is adhered be analyzed?
AMineral types can be identified using an X-ray diffractometer (XRD).


Fig.1 Overview of XRD
(Source : JAIMA website)
- When a sample that contains crystals in which atoms are aligned is irradiated with X-rays from a particular angle, the X-rays are strongly reflected.
- The angle is determined by the wavelength of the X-ray and the interval between the planes in which atoms are aligned. Therefore, the types of crystals present can be identified by measuring the angle of the strong reflection.

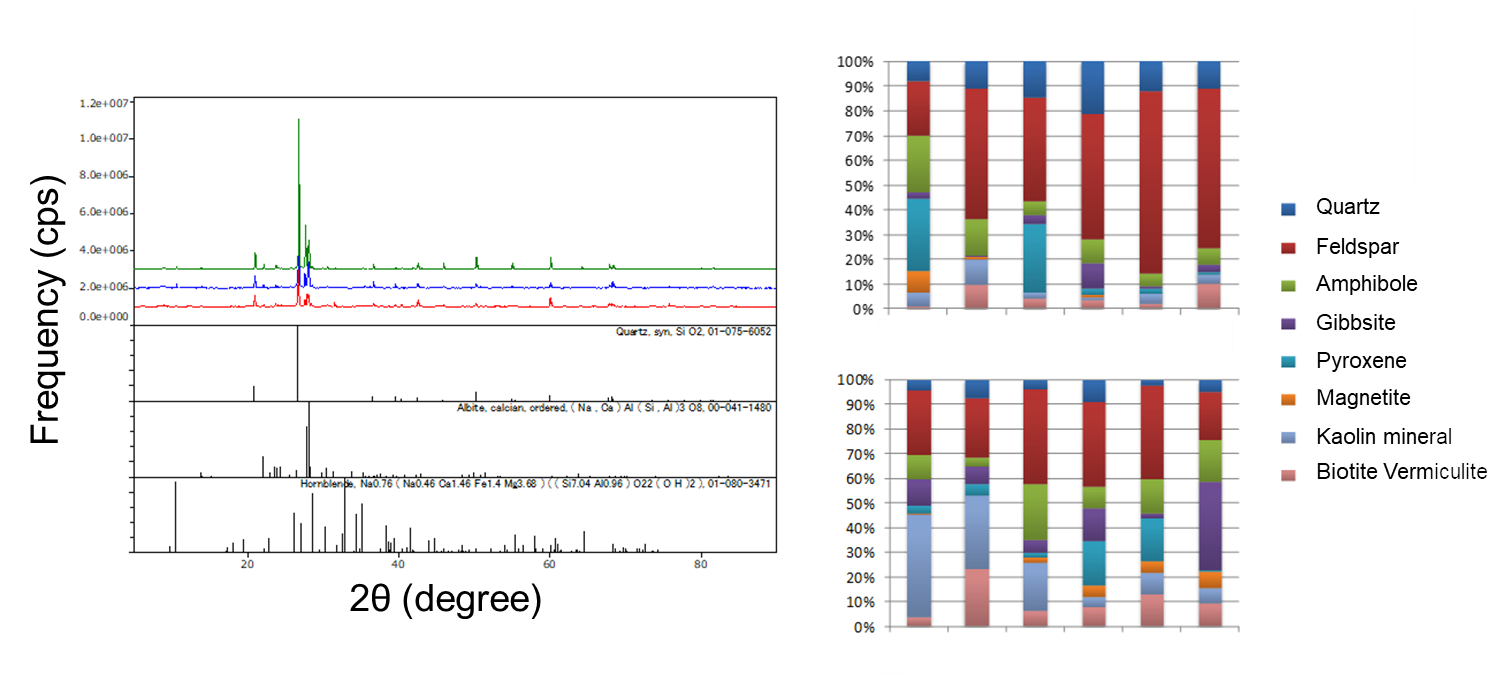
Fig.2 Analysis example Grain-size mineral composition of deposits from the upper reaches to the sea The images can be enlarged by clicking.
- We used XRD to analyze the mineral composition of deposits from the upper to lower reaches of a river system, as well as to the sea.
- The results showed that, among river system deposits, clay fractions (small grain sizes) in which the radioactive Cs concentration was relatively high contained a lot of clay minerals, such as biotite, which had strongly absorbed radioactive Cs.